Przypomnijmy, że matury 2024 potrwają do 25 maja, a dzisiejszy egzamin z matematyki nie był jedynym, który będzie miał w tym czasie miejsce. Przed częścią maturzystów są bowiem jeszcze egzaminy z matematyki na poziomie rozszerzonym (15 maja) oraz w języku obcym (24 maja). Dla tych, którzy z ważnych powodów nie pojawić się na egzaminie 8 maja jest jeszcze termin dodatkowy.

Egzamin z matematyki na poziomie podstawowym w terminie dodatkowym odbędzie się we wtorek 4 czerwca o godz. 9:00. Jakie inne terminy maturalnych egzaminów z matematyki warto jeszcze zapamiętać?

We wtorek 11 czerwca o godz. 9:00 odbędzie się egzamin z matematyki na poziomie rozszerzonym. Jest to dodatkowy termin tego egzaminu. We wtorek 20 sierpnia o godz. 9:00 rozpocznie się zaś pisemna część egzaminu poprawkowego.

Matura z matematyki 2024. Co znajduje się w arkuszach egzaminacyjnych?

Już wiemy, jak dokładnie wyglądają dzisiejsze arkusze z matematyki. O 14.00 Centralna Komisja Egzaminacyjne opublikowała arkusze egzaminacyjne na swojej stronie. Znajdziecie je także w niniejszym tekście, poniżej.

(A jeszcze niżej znajdziecie propozycje odpowiedzi na matematyczne zadania)

Arkusze egzaminacyjne z matematyki na poziomie podstawowym. Matura 2024

Matura 2024. Matematyka - poziom podstawowy [ARKUSZE CKE i ODPOWIEDZI]
ikona lupy />
Matura 2024. Matematyka - poziom podstawowy [ARKUSZE CKE] / CKE

Arkusze CKE z matematyki w formule 2015:

ARKUSZE CKE – Matematyka: Arkusz egzaminacyjny z matematyki na poziomie podstawowym, formuła 2015 >>

Matura 2024. Matematyka - poziom podstawowy [ARKUSZE CKE i ODPOWIEDZI]
ikona lupy />
Matura 2024. Matematyka - poziom podstawowy [ARKUSZE CKE] / CKE

Arkusze CKE z matematyki w formule 2023:

ARKUSZE CKE – Matematyka:Arkusz egzaminacyjny z matematyki na poziomie podstawowym, formuła 2023

Matura 2024: Matematyka, poziom podstawowy. ODPOWIEDZI

Zaraz po opublikowaniu arkuszy CKE z matematyki do zadań zasiądą współpracujący z nami eksperci z „Matematyka Gryzie”. Specjaliści przygotowali dla was proponowane odpowiedzi z matematyki, które znajdziecie poniżej.

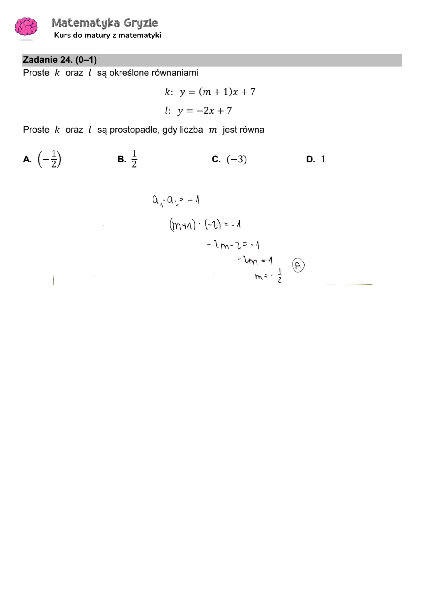
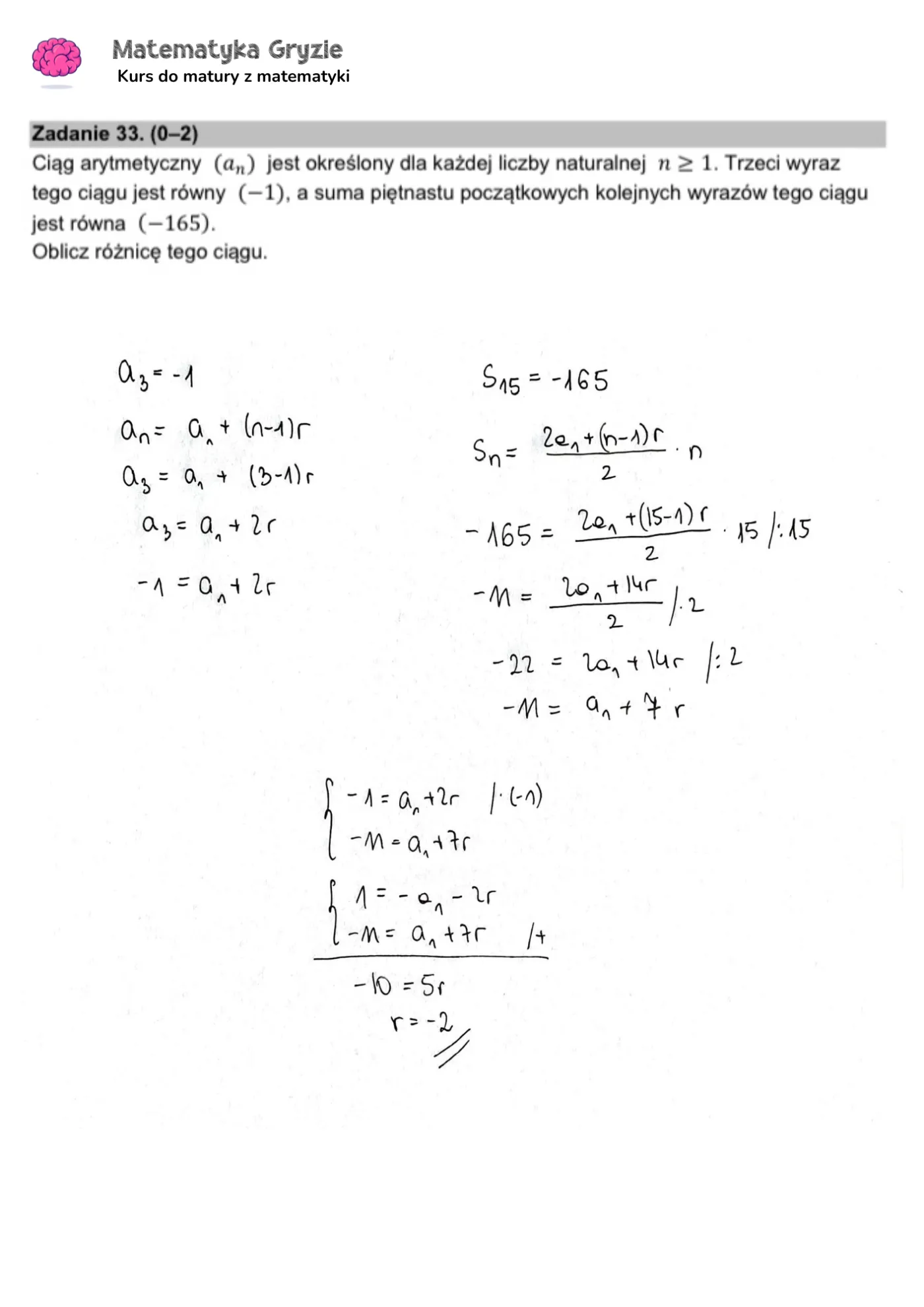
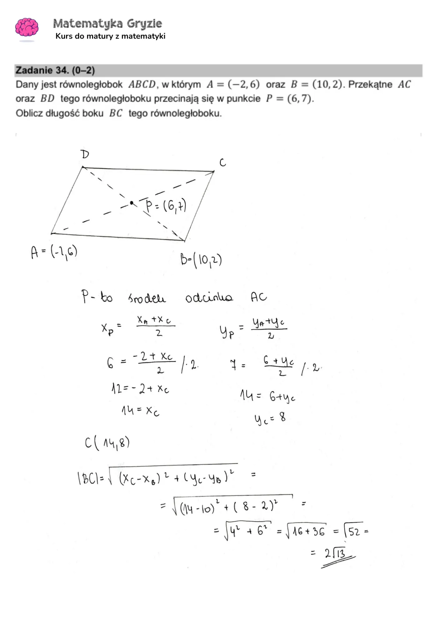
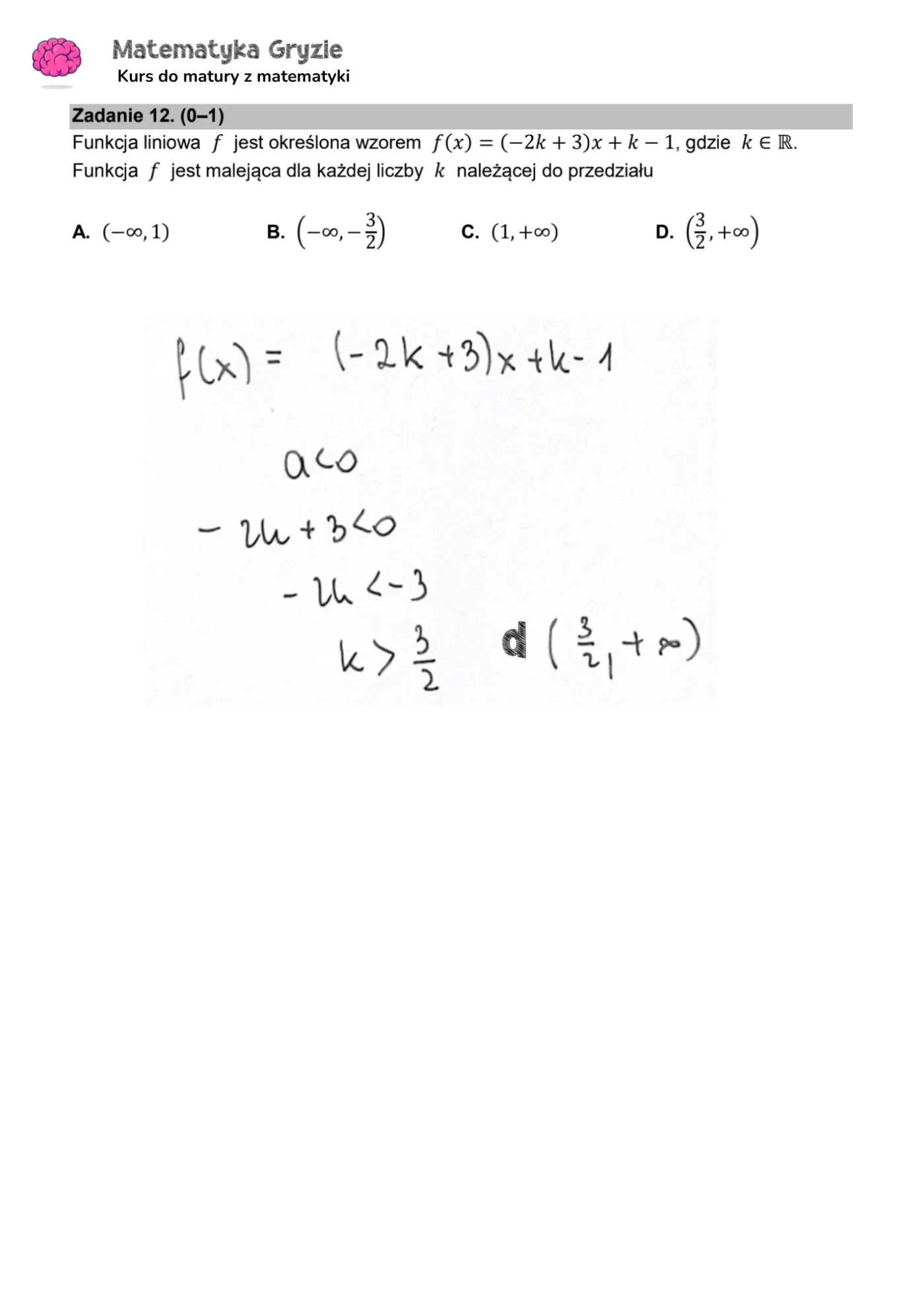
  • Odpowiedzi z matematyki, poziom podstawowy, formuła 2023
Matura 2024. Matematyka - poziom podstawowy [ARKUSZE CKE i ODPOWIEDZI]
ikona lupy />
Matura 2024. Matematyka - poziom podstawowy [ARKUSZE CKE i ODPOWIEDZI] / Inne
Matura 2024. Matematyka - poziom podstawowy [ARKUSZE CKE i ODPOWIEDZI]
ikona lupy />
Matura 2024. Matematyka - poziom podstawowy [ARKUSZE CKE i ODPOWIEDZI] / Inne
Matura 2024. Matematyka - poziom podstawowy [ARKUSZE CKE i ODPOWIEDZI]
ikona lupy />
Matura 2024. Matematyka - poziom podstawowy [ARKUSZE CKE i ODPOWIEDZI] / Inne
Matura 2024. Matematyka - poziom podstawowy [ARKUSZE CKE i ODPOWIEDZI]
ikona lupy />
Matura 2024. Matematyka - poziom podstawowy [ARKUSZE CKE i ODPOWIEDZI] / Inne
Matura 2024. Matematyka - poziom podstawowy [ARKUSZE CKE i ODPOWIEDZI]
ikona lupy />
Matura 2024. Matematyka - poziom podstawowy [ARKUSZE CKE i ODPOWIEDZI] / Inne
Matura 2024. Matematyka - poziom podstawowy [ARKUSZE CKE i ODPOWIEDZI]
ikona lupy />
Matura 2024. Matematyka - poziom podstawowy [ARKUSZE CKE i ODPOWIEDZI] / Inne
Matura 2024. Matematyka - poziom podstawowy [ARKUSZE CKE i ODPOWIEDZI]
ikona lupy />
Matura 2024. Matematyka - poziom podstawowy [ARKUSZE CKE i ODPOWIEDZI] / Inne
Matura 2024. Matematyka - poziom podstawowy [ARKUSZE CKE i ODPOWIEDZI]
ikona lupy />
Matura 2024. Matematyka - poziom podstawowy [ARKUSZE CKE i ODPOWIEDZI] / Inne
Matura 2024. Matematyka - poziom podstawowy [ARKUSZE CKE i ODPOWIEDZI]
ikona lupy />
Matura 2024. Matematyka - poziom podstawowy [ARKUSZE CKE i ODPOWIEDZI] / Inne
Matura 2024. Matematyka - poziom podstawowy [ARKUSZE CKE i ODPOWIEDZI]
ikona lupy />
Matura 2024. Matematyka - poziom podstawowy [ARKUSZE CKE i ODPOWIEDZI] / Inne
Matura 2024. Matematyka - poziom podstawowy [ARKUSZE CKE i ODPOWIEDZI]
ikona lupy />
Matura 2024. Matematyka - poziom podstawowy [ARKUSZE CKE i ODPOWIEDZI] / Inne
Matura 2024. Matematyka - poziom podstawowy [ARKUSZE CKE i ODPOWIEDZI]
ikona lupy />
Matura 2024. Matematyka - poziom podstawowy [ARKUSZE CKE i ODPOWIEDZI] / Inne
Matura 2024. Matematyka - poziom podstawowy [ARKUSZE CKE i ODPOWIEDZI]
ikona lupy />
Matura 2024. Matematyka - poziom podstawowy [ARKUSZE CKE i ODPOWIEDZI] / Inne
Matura 2024. Matematyka - poziom podstawowy [ARKUSZE CKE i ODPOWIEDZI]
ikona lupy />
Matura 2024. Matematyka - poziom podstawowy [ARKUSZE CKE i ODPOWIEDZI] / Inne
Matura 2024. Matematyka - poziom podstawowy [ARKUSZE CKE i ODPOWIEDZI]
ikona lupy />
Matura 2024. Matematyka - poziom podstawowy [ARKUSZE CKE i ODPOWIEDZI] / Inne
Matura 2024. Matematyka - poziom podstawowy [ARKUSZE CKE i ODPOWIEDZI]
ikona lupy />
Matura 2024. Matematyka - poziom podstawowy [ARKUSZE CKE i ODPOWIEDZI] / Inne
Matura 2024. Matematyka - poziom podstawowy [ARKUSZE CKE i ODPOWIEDZI]
ikona lupy />
Matura 2024. Matematyka - poziom podstawowy [ARKUSZE CKE i ODPOWIEDZI] / Inne
Matura 2024. Matematyka - poziom podstawowy [ARKUSZE CKE i ODPOWIEDZI]
ikona lupy />
Matura 2024. Matematyka - poziom podstawowy [ARKUSZE CKE i ODPOWIEDZI] / Inne
Matura 2024. Matematyka - poziom podstawowy [ARKUSZE CKE i ODPOWIEDZI]
ikona lupy />
Matura 2024. Matematyka - poziom podstawowy [ARKUSZE CKE i ODPOWIEDZI] / Inne
Matura 2024. Matematyka - poziom podstawowy [ARKUSZE CKE i ODPOWIEDZI]
ikona lupy />
Matura 2024. Matematyka - poziom podstawowy [ARKUSZE CKE i ODPOWIEDZI] / Inne
Matura 2024. Matematyka - poziom podstawowy [ARKUSZE CKE i ODPOWIEDZI]
ikona lupy />
Matura 2024. Matematyka - poziom podstawowy [ARKUSZE CKE i ODPOWIEDZI] / Inne
Matura 2024. Matematyka - poziom podstawowy [ARKUSZE CKE i ODPOWIEDZI]
ikona lupy />
Matura 2024. Matematyka - poziom podstawowy [ARKUSZE CKE i ODPOWIEDZI] / Inne
Matura 2024. Matematyka - poziom podstawowy [ARKUSZE CKE i ODPOWIEDZI]
ikona lupy />
Matura 2024. Matematyka - poziom podstawowy [ARKUSZE CKE i ODPOWIEDZI] / Inne
Matura 2024. Matematyka - poziom podstawowy [ARKUSZE CKE i ODPOWIEDZI]
ikona lupy />
Matura 2024. Matematyka - poziom podstawowy [ARKUSZE CKE i ODPOWIEDZI] / Inne
Matura 2024. Matematyka - poziom podstawowy [ARKUSZE CKE i ODPOWIEDZI]
ikona lupy />
Matura 2024. Matematyka - poziom podstawowy [ARKUSZE CKE i ODPOWIEDZI] / Inne
Matura 2024. Matematyka - poziom podstawowy [ARKUSZE CKE i ODPOWIEDZI]
ikona lupy />
Matura 2024. Matematyka - poziom podstawowy [ARKUSZE CKE i ODPOWIEDZI] / Inne
Matura 2024. Matematyka - poziom podstawowy [ARKUSZE CKE i ODPOWIEDZI]
ikona lupy />
Matura 2024. Matematyka - poziom podstawowy [ARKUSZE CKE i ODPOWIEDZI] / Inne
Matura 2024. Matematyka - poziom podstawowy [ARKUSZE CKE i ODPOWIEDZI]
ikona lupy />
Matura 2024. Matematyka - poziom podstawowy [ARKUSZE CKE i ODPOWIEDZI] / Inne
Matura 2024. Matematyka - poziom podstawowy [ARKUSZE CKE i ODPOWIEDZI]
ikona lupy />
Matura 2024. Matematyka - poziom podstawowy [ARKUSZE CKE i ODPOWIEDZI] / Inne
Matura 2024. Matematyka - poziom podstawowy [ARKUSZE CKE i ODPOWIEDZI]
ikona lupy />
Matura 2024. Matematyka - poziom podstawowy [ARKUSZE CKE i ODPOWIEDZI] / Inne
Matura 2024. Matematyka - poziom podstawowy [ARKUSZE CKE i ODPOWIEDZI]
ikona lupy />
Matura 2024. Matematyka - poziom podstawowy [ARKUSZE CKE i ODPOWIEDZI] / Inne
Matura 2024. Matematyka - poziom podstawowy [ARKUSZE CKE i ODPOWIEDZI]
ikona lupy />
Matura 2024. Matematyka - poziom podstawowy [ARKUSZE CKE i ODPOWIEDZI] / Inne
Matura 2024. Matematyka - poziom podstawowy [ARKUSZE CKE i ODPOWIEDZI]
ikona lupy />
Matura 2024. Matematyka - poziom podstawowy [ARKUSZE CKE i ODPOWIEDZI] / Inne
Matura 2024. Matematyka - poziom podstawowy [ARKUSZE CKE i ODPOWIEDZI]
ikona lupy />
Matura 2024. Matematyka - poziom podstawowy [ARKUSZE CKE i ODPOWIEDZI] / Inne

2. Odpowiedzi z matematyki, poziom podstawowy, formuła 2015

Matura 2024. Matematyka - poziom podstawowy [ARKUSZE CKE i ODPOWIEDZI]
ikona lupy />
Matura 2024. Matematyka - poziom podstawowy [ARKUSZE CKE i ODPOWIEDZI] / Inne
Matura 2024. Matematyka - poziom podstawowy [ARKUSZE CKE i ODPOWIEDZI]
ikona lupy />
Matura 2024. Matematyka - poziom podstawowy [ARKUSZE CKE i ODPOWIEDZI] / Inne
Matura 2024. Matematyka - poziom podstawowy [ARKUSZE CKE i ODPOWIEDZI]
ikona lupy />
Matura 2024. Matematyka - poziom podstawowy [ARKUSZE CKE i ODPOWIEDZI] / Inne
Matura 2024. Matematyka - poziom podstawowy [ARKUSZE CKE i ODPOWIEDZI]
ikona lupy />
Matura 2024. Matematyka - poziom podstawowy [ARKUSZE CKE i ODPOWIEDZI] / Inne
Matura 2024. Matematyka - poziom podstawowy [ARKUSZE CKE i ODPOWIEDZI]
ikona lupy />
Matura 2024. Matematyka - poziom podstawowy [ARKUSZE CKE i ODPOWIEDZI] / Inne
Matura 2024. Matematyka - poziom podstawowy [ARKUSZE CKE i ODPOWIEDZI]
ikona lupy />
Matura 2024. Matematyka - poziom podstawowy [ARKUSZE CKE i ODPOWIEDZI] / Inne
Matura 2024. Matematyka - poziom podstawowy [ARKUSZE CKE i ODPOWIEDZI]
ikona lupy />
Matura 2024. Matematyka - poziom podstawowy [ARKUSZE CKE i ODPOWIEDZI] / Inne
Matura 2024. Matematyka - poziom podstawowy [ARKUSZE CKE i ODPOWIEDZI]
ikona lupy />
Matura 2024. Matematyka - poziom podstawowy [ARKUSZE CKE i ODPOWIEDZI] / Inne
Matura 2024. Matematyka - poziom podstawowy [ARKUSZE CKE i ODPOWIEDZI]
ikona lupy />
Matura 2024. Matematyka - poziom podstawowy [ARKUSZE CKE i ODPOWIEDZI] / Inne
Matura 2024. Matematyka - poziom podstawowy [ARKUSZE CKE i ODPOWIEDZI]
ikona lupy />
Matura 2024. Matematyka - poziom podstawowy [ARKUSZE CKE i ODPOWIEDZI] / Inne
Matura 2024. Matematyka - poziom podstawowy [ARKUSZE CKE i ODPOWIEDZI]
ikona lupy />
Matura 2024. Matematyka - poziom podstawowy [ARKUSZE CKE i ODPOWIEDZI] / Inne
Matura 2024. Matematyka - poziom podstawowy [ARKUSZE CKE i ODPOWIEDZI]
ikona lupy />
Matura 2024. Matematyka - poziom podstawowy [ARKUSZE CKE i ODPOWIEDZI] / Inne
Matura 2024. Matematyka - poziom podstawowy [ARKUSZE CKE i ODPOWIEDZI]
ikona lupy />
Matura 2024. Matematyka - poziom podstawowy [ARKUSZE CKE i ODPOWIEDZI] / Inne
Matura 2024. Matematyka - poziom podstawowy [ARKUSZE CKE i ODPOWIEDZI]
ikona lupy />
Matura 2024. Matematyka - poziom podstawowy [ARKUSZE CKE i ODPOWIEDZI] / Inne
Matura 2024. Matematyka - poziom podstawowy [ARKUSZE CKE i ODPOWIEDZI]
ikona lupy />
Matura 2024. Matematyka - poziom podstawowy [ARKUSZE CKE i ODPOWIEDZI] / Inne
Matura 2024. Matematyka - poziom podstawowy [ARKUSZE CKE i ODPOWIEDZI]
ikona lupy />
Matura 2024. Matematyka - poziom podstawowy [ARKUSZE CKE i ODPOWIEDZI] / Inne
Matura 2024. Matematyka - poziom podstawowy [ARKUSZE CKE i ODPOWIEDZI]
ikona lupy />
Matura 2024. Matematyka - poziom podstawowy [ARKUSZE CKE i ODPOWIEDZI] / Inne
Matura 2024. Matematyka - poziom podstawowy [ARKUSZE CKE i ODPOWIEDZI]
ikona lupy />
Matura 2024. Matematyka - poziom podstawowy [ARKUSZE CKE i ODPOWIEDZI] / Inne
Matura 2024. Matematyka - poziom podstawowy [ARKUSZE CKE i ODPOWIEDZI]
ikona lupy />
Matura 2024. Matematyka - poziom podstawowy [ARKUSZE CKE i ODPOWIEDZI] / Inne
Matura 2024. Matematyka - poziom podstawowy [ARKUSZE CKE i ODPOWIEDZI]
ikona lupy />
Matura 2024. Matematyka - poziom podstawowy [ARKUSZE CKE i ODPOWIEDZI] / Inne
Matura 2024. Matematyka - poziom podstawowy [ARKUSZE CKE i ODPOWIEDZI]
ikona lupy />
Matura 2024. Matematyka - poziom podstawowy [ARKUSZE CKE i ODPOWIEDZI] / Inne
Matura 2024. Matematyka - poziom podstawowy [ARKUSZE CKE i ODPOWIEDZI]
ikona lupy />
Matura 2024. Matematyka - poziom podstawowy [ARKUSZE CKE i ODPOWIEDZI] / Inne
Matura 2024. Matematyka - poziom podstawowy [ARKUSZE CKE i ODPOWIEDZI]
ikona lupy />
Matura 2024. Matematyka - poziom podstawowy [ARKUSZE CKE i ODPOWIEDZI] / Inne
Matura 2024. Matematyka - poziom podstawowy [ARKUSZE CKE i ODPOWIEDZI]
ikona lupy />
Matura 2024. Matematyka - poziom podstawowy [ARKUSZE CKE i ODPOWIEDZI] / Inne
Matura 2024. Matematyka - poziom podstawowy [ARKUSZE CKE i ODPOWIEDZI]
ikona lupy />
Matura 2024. Matematyka - poziom podstawowy [ARKUSZE CKE i ODPOWIEDZI] / Inne
Matura 2024. Matematyka - poziom podstawowy [ARKUSZE CKE i ODPOWIEDZI]
ikona lupy />
Matura 2024. Matematyka - poziom podstawowy [ARKUSZE CKE i ODPOWIEDZI] / Inne
Matura 2024. Matematyka - poziom podstawowy [ARKUSZE CKE i ODPOWIEDZI]
ikona lupy />
Matura 2024. Matematyka - poziom podstawowy [ARKUSZE CKE i ODPOWIEDZI] / Inne
Matura 2024. Matematyka - poziom podstawowy [ARKUSZE CKE i ODPOWIEDZI]
ikona lupy />
Matura 2024. Matematyka - poziom podstawowy [ARKUSZE CKE i ODPOWIEDZI] / Inne
Matura 2024. Matematyka - poziom podstawowy [ARKUSZE CKE i ODPOWIEDZI]
ikona lupy />
Matura 2024. Matematyka - poziom podstawowy [ARKUSZE CKE i ODPOWIEDZI] / Inne
Matura 2024. Matematyka - poziom podstawowy [ARKUSZE CKE i ODPOWIEDZI]
ikona lupy />
Matura 2024. Matematyka - poziom podstawowy [ARKUSZE CKE i ODPOWIEDZI] / Inne
Matura 2024. Matematyka - poziom podstawowy [ARKUSZE CKE i ODPOWIEDZI]
ikona lupy />
Matura 2024. Matematyka - poziom podstawowy [ARKUSZE CKE i ODPOWIEDZI] / Inne
Matura 2024. Matematyka - poziom podstawowy [ARKUSZE CKE i ODPOWIEDZI]
ikona lupy />
Matura 2024. Matematyka - poziom podstawowy [ARKUSZE CKE i ODPOWIEDZI] / Inne
Matura 2024. Matematyka - poziom podstawowy [ARKUSZE CKE i ODPOWIEDZI]
ikona lupy />
Matura 2024. Matematyka - poziom podstawowy [ARKUSZE CKE i ODPOWIEDZI] / Inne
Matura 2024. Matematyka - poziom podstawowy [ARKUSZE CKE i ODPOWIEDZI]
ikona lupy />
Matura 2024. Matematyka - poziom podstawowy [ARKUSZE CKE i ODPOWIEDZI] / Inne
Matura 2024. Matematyka - poziom podstawowy [ARKUSZE CKE i ODPOWIEDZI]
ikona lupy />
Matura 2024. Matematyka - poziom podstawowy [ARKUSZE CKE i ODPOWIEDZI] / Inne
Matura 2024. Matematyka - poziom podstawowy [ARKUSZE CKE i ODPOWIEDZI]
ikona lupy />
Matura 2024. Matematyka - poziom podstawowy [ARKUSZE CKE i ODPOWIEDZI] / Inne

Matura 2024. Kolejne egzaminy jeszcze w tym tygodniu

W czwartek odbędą się maturalne egzaminy z języków obcych nowożytnych. 9 maja maturzyści przystąpią do najważniejszych w swoim dotychczasowym życiu sprawdzianów z języka angielskiego (godz. 9.00), języka francuskiego (godz. 14:00 ), hiszpańskiego (godz. 14:00), niemieckiego (godz. 14:00), rosyjskiego (godz. 14:00) oraz języka włoskiego. Wszystkie egzaminy odbędą się na poziomie podstawowym.

W piątek 10 maja odbędą się dwa kolejne egzaminy maturalne. O godz. 9:00 maturzyści zmierzą się z wiedzą o społeczeństwie na poziomie rozszerzonym, a o godz. 14:00 z językiem niemieckim na poziomie rozszerzonym oraz dwujęzycznym.