Matura 2024. Mamy ARKUSZE CKE I ODPOWIEDZI z matematyki na poziomie rozszerzonym

Matura 2024, matematyka - poziom rozszerzony
Matura 2024, matematyka - poziom rozszerzonyGazetaPrawna.pl
15 maja 2024

Matura z matematyki dobiegła końca. Maturzyści zakończyli już pisanie egzaminu na poziomie rozszerzonym, a Centralna Komisja Egzaminacyjna opublikowała arkusze, które znajdziecie w niniejszym tekście. W artykule znajdziecie także pierwsze propozycje odpowiedzi z matematyki, które przygotowują dla was współpracujący z nami eksperci z „Matematyka. Gryzie”. 

72 614 uczniów. Tyle osób zadeklarowało swój udział w egzaminie z matematyki na poziomie rozszerzonym. Co ważne, matematyki na poziomie rozszerzonym nie można nie zdać. W 2024 roku egzaminy na poziomie rozszerzonym nie posiadają określonego progu zdawalności. W 2025 roku będzie już jednak inaczej. Obowiązkowy próg zdawalności wyniesie 30 proc.

Mimo braku określonego progu zdawalności, wyniki egzaminu z matematyki na poziomie rozszerzonym z przedmiotów dodatkowych mają dla wielu maturzystów znaczenie w procesie rekrutacji na uczelnie wyższe. Dlatego teraz, kiedy egzamin dobiegł już końca, a emocje nieco opadły, wielu z nich wyczekuje odpowiedzi na zadnia, z którymi się mierzyli. Przypominamy więc, że zarówno propozycje odpowiedzi jak i arkusze egzaminacyjne znajdziecie w tym tekście.

Matura 2024. Arkusze CKE z matematyki na poziomie rozszerzonym

Już wiemy jak wyglądały arkusze CKE z matematyki na poziomie rozszerzonym.

Matura 2024. Matematyka - poziom rozszerzony [ARKUSZE CKE i ODPOWIEDZI]
Matura 2024. Matematyka - poziom rozszerzony [ARKUSZE CKE i ODPOWIEDZI]
  • Arkusze CKE z matematyki na poziomie rozszerzonym, formuła 2023: Arkusz CKE >>
Matura 2024. Matematyka - poziom rozszerzony [ARKUSZE CKE i ODPOWIEDZI]
Matura 2024. Matematyka - poziom rozszerzony [ARKUSZE CKE i ODPOWIEDZI]
  • Arkusze CKE z matematyki na poziomie rozszerzonym, formuła 2015: Arkusz CKE >>

Matura 2024. Odpowiedzi z matematyki na poziomie rozszerzonym

Współpracujący z nami eksperci z „Matematyka Gryzie” zasiedli już do zadań z arkuszy egzaminacyjnych. Poniżej publikujemy pierwsze propozycje przygotowanych dla was odpowiedzi. 

Uwaga: Jeśli chcesz zobaczyć najnowsze, kolejno dodawane odpowiedzi z matematyki, naciśnij F5 (strona nie odświeża się automatycznie)

Propozycje odpowiedzi z matury matematyki na poziomie rozszerzonym:

 

Matura 2024. Matematyka - poziom rozszerzony [ARKUSZE CKE i ODPOWIEDZI]
Matura 2024. Matematyka - poziom rozszerzony [ARKUSZE CKE i ODPOWIEDZI]. Zadanie 2
Matura 2024. Matematyka - poziom rozszerzony [ARKUSZE CKE i ODPOWIEDZI]
Matura 2024. Matematyka - poziom rozszerzony [ARKUSZE CKE i ODPOWIEDZI]. Zadanie 3
Matura 2024. Matematyka - poziom rozszerzony [ARKUSZE CKE i ODPOWIEDZI]
Matura 2024. Matematyka - poziom rozszerzony [ARKUSZE CKE i ODPOWIEDZI]. Zadanie 4
Matura 2024. Matematyka - poziom rozszerzony [ARKUSZE CKE i ODPOWIEDZI]
Matura 2024. Matematyka - poziom rozszerzony [ARKUSZE CKE i ODPOWIEDZI]. Zadanie 5
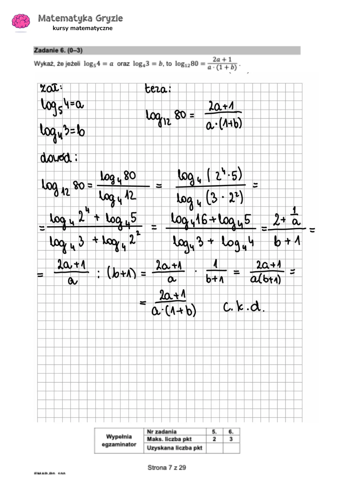
Matura 2024. Matematyka - poziom rozszerzony [ARKUSZE CKE i ODPOWIEDZI]
Matura 2024. Matematyka - poziom rozszerzony [ARKUSZE CKE i ODPOWIEDZI]. Zadanie 6
Matura 2024. Matematyka - poziom rozszerzony [ARKUSZE CKE i ODPOWIEDZI]
Matura 2024. Matematyka - poziom rozszerzony [ARKUSZE CKE i ODPOWIEDZI]. Zadanie 7
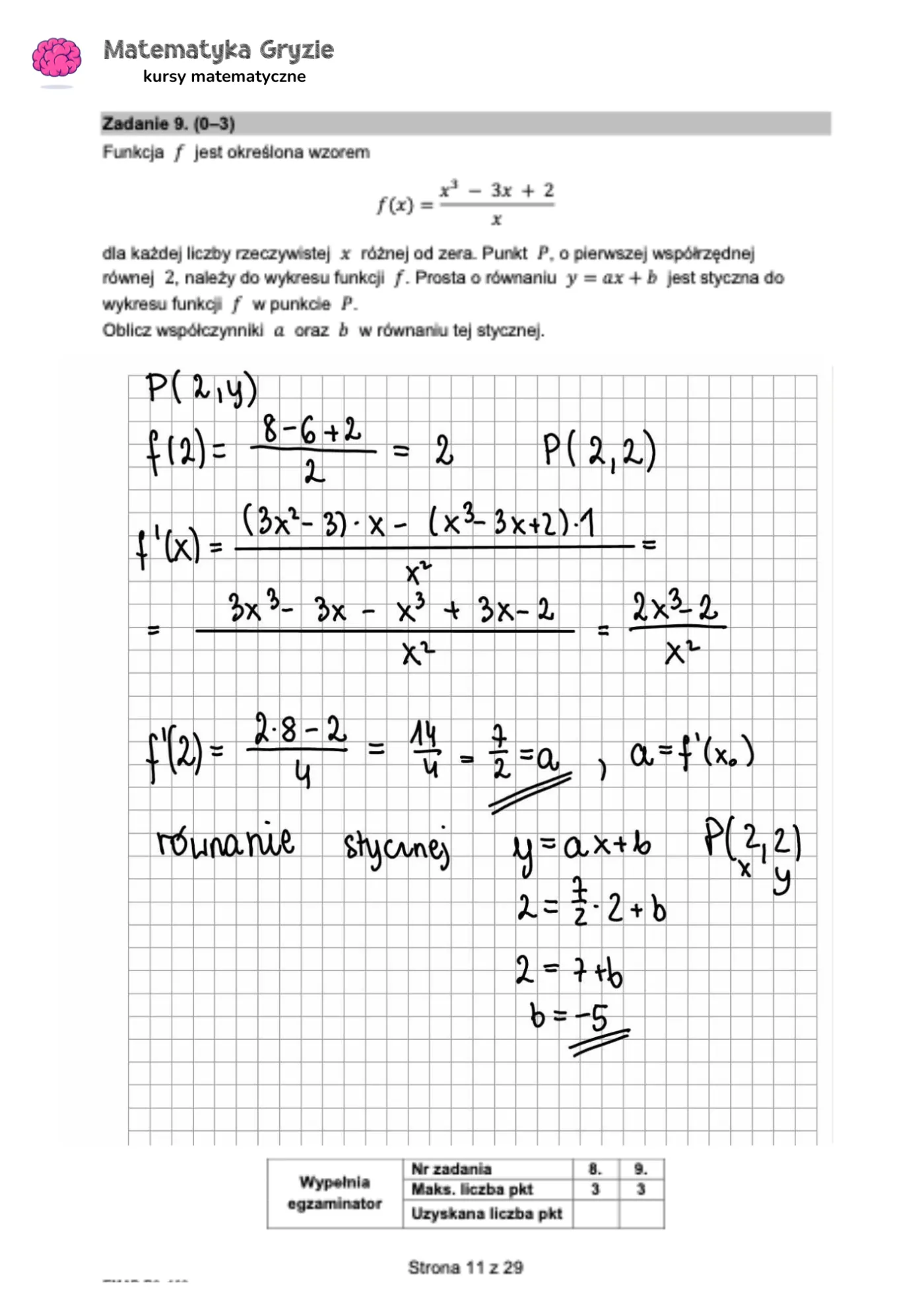
Matura 2024. Matematyka - poziom rozszerzony [ARKUSZE CKE i ODPOWIEDZI]
Matura 2024. Matematyka - poziom rozszerzony [ARKUSZE CKE i ODPOWIEDZI] Zadanie 9
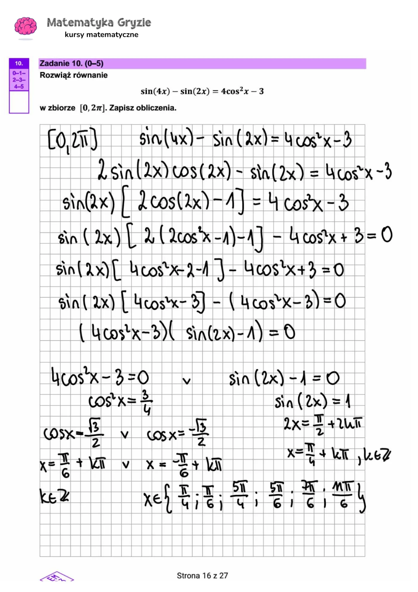
Matura 2024. Matematyka - poziom rozszerzony [ARKUSZE CKE i ODPOWIEDZI]
Matura 2024. Matematyka - poziom rozszerzony [ARKUSZE CKE i ODPOWIEDZI]. Zadanie 10
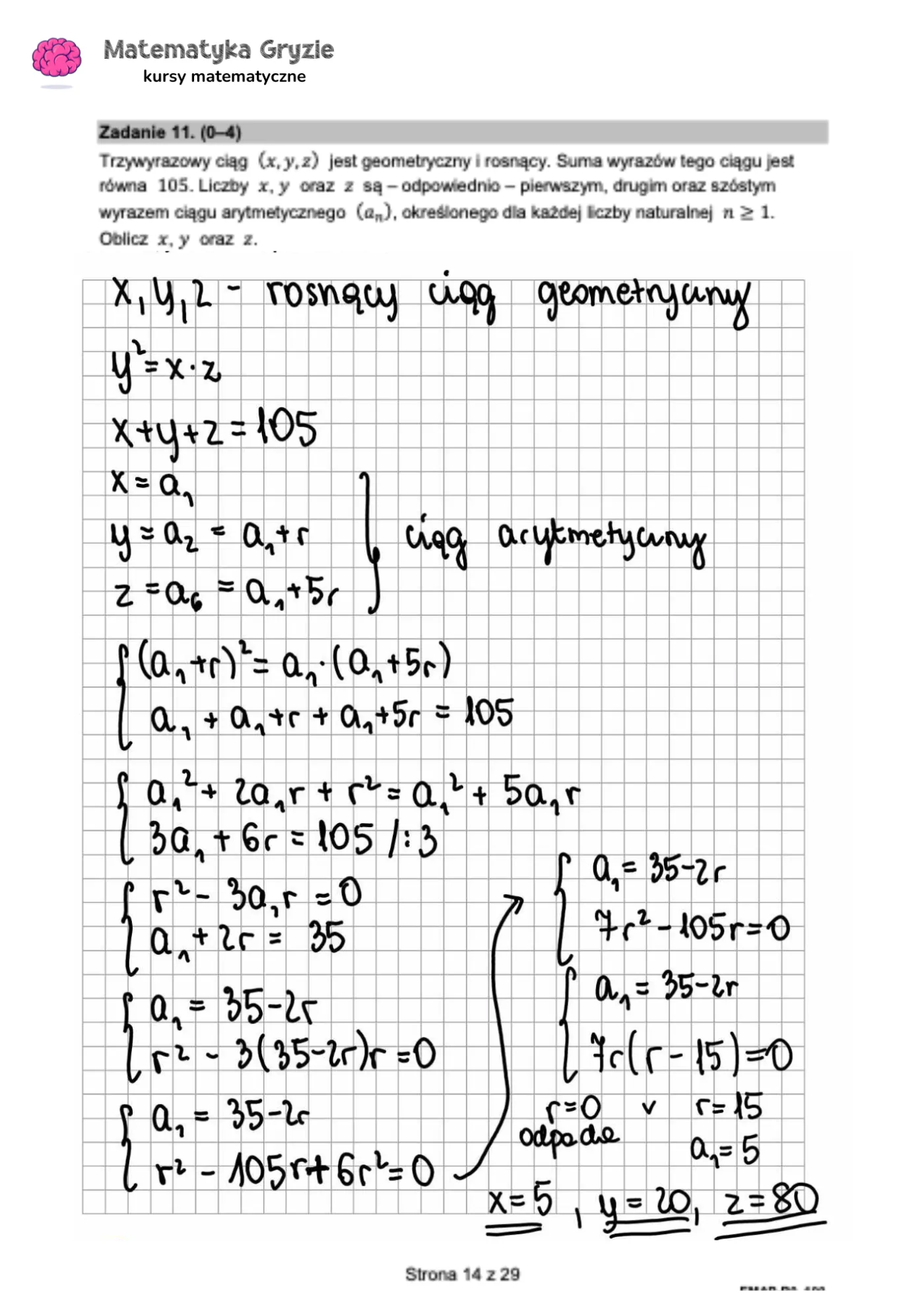
Matura 2024. Matematyka - poziom rozszerzony [ARKUSZE CKE i ODPOWIEDZI]. Zadanie 11
Matura 2024. Matematyka - poziom rozszerzony [ARKUSZE CKE i ODPOWIEDZI]. Zadanie 11
Matura 2024. Matematyka - poziom rozszerzony [ROZWIĄZANIA I ODPOWIEDZI]
Matura 2024. Matematyka - poziom rozszerzony [ROZWIĄZANIA I ODPOWIEDZI] Zadanie 12
Matura 2024. Matematyka - poziom rozszerzony [ROZWIĄZANIA I ODPOWIEDZI]
Matura 2024. Matematyka - poziom rozszerzony [ROZWIĄZANIA I ODPOWIEDZI] Zadanie 12
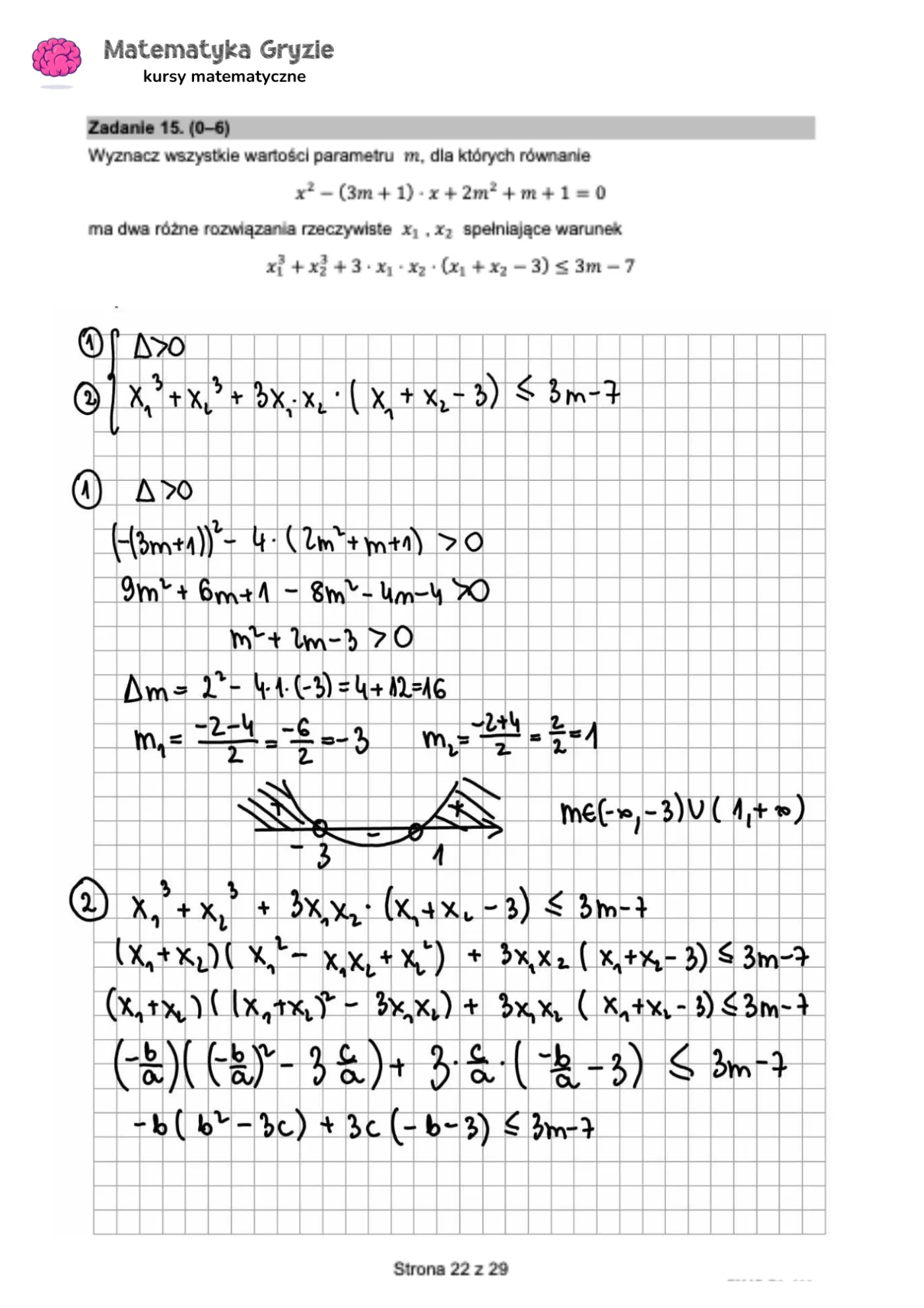
Matura 2024. Matematyka - poziom rozszerzony [ARKUSZE CKE i ODPOWIEDZI]
Matura 2024. Matematyka - poziom rozszerzony [ARKUSZE CKE i ODPOWIEDZI]. Zadanie 15
Matura 2024. Matematyka - poziom rozszerzony [ARKUSZE CKE i ODPOWIEDZI]
Matura 2024. Matematyka - poziom rozszerzony [ARKUSZE CKE i ODPOWIEDZI]

Matura 2024. Harmonogram kolejnych egzaminów

  • 16 maja (czwartek) – rano egzamin z chemii, po południu egzamin z historii muzyki. 
  • 17 maja (piątek) - rano egzamin z geografii,  po południu matura z języków mniejszości narodowych: białoruskiego, litewskiego i ukraińskiego na poziomie podstawowym.
  • 20 maja (poniedziałek) - rano będzie egzamin z języka polskiego na poziomie rozszerzonym, a po południu egzaminy z języków mniejszości narodowych na poziomie rozszerzonym. 
  • 21 maja (wtorek) - rano zostanie przeprowadzony egzamin z historii, po południu matura z języka hiszpańskiego na poziomach rozszerzonym i dwujęzycznym. 
  • 22 maja (środa) - rano będzie egzamin z informatyki, a po południu matura z historii sztuki. 
  • 23 maja rano (czwartek) - egzamin z fizyki, a po południu matura z języka włoskiego na poziomach rozszerzonym i dwujęzycznym. 
  • 24 maja (piątek) – rano przeprowadzone będą egzaminy w językach obcych z matematyki, geografii, chemii, fizyki, biologii i historii. Takie egzaminy są zdawane przez absolwentów szkół i oddziałów dwujęzycznych.
Autopromocja
381453mega.png
381455mega.png
381148mega.png
Źródło: gazetaprawna.pl

Materiał chroniony prawem autorskim - wszelkie prawa zastrzeżone.

Dalsze rozpowszechnianie artykułu za zgodą wydawcy INFOR PL S.A. Kup licencję.